Corrugated Filter with Quarter-Wave Coupled Resonators
Design procedure
R. Goulouev

Corrugated waveguide filters are widely used in powerful microwave applications in order to reject high frequency spurious spectrum. Here a corrugated harmonic filter of new type [1] using quarter-wave-coupled E-plane corrugated reflection-zero resonators providing high loaded Q is presented. The expressions for scattering parameters of filter structure are represented in terms of known variational approximations and grouped into completed two s tep design procedure, which combines a first-order synthesis, based on quarter-wave-coupled prototype, with gradient optimization procedure. The design procedure is realized as MathCAD spreadsheet allowing performing complete filter design including synthesis, optimization and detailed verification within several minutes.

Forward your comments & questions to R. Goulouev
E-mail: gouloue@ieee.org
Web Page: http://www.goulouev.com/
Waveguide

The filter [1] is represented as a number of wave guiding elements of scattering matrices Si and connected to each other by straight waveguide lines of length L i .
Figure 1: Cascade of N+1 scattering elements.
S-parameters of cascade of any two elements with S-matrices S0 and S1 can be expressed:
(1)
Where b is propagation constant taking into account finite conductivity of waveguide surface [2]
silver
(2)
copper
aluminum
nickel
where
(3)
are wavelength and wave number corresponding to free space, a is waveguide width and b is waveguide height. The initial value of loss factor is multiplied by 1.7 practical correction in order to take into account roughness of surface.
Single E-plane Cavity

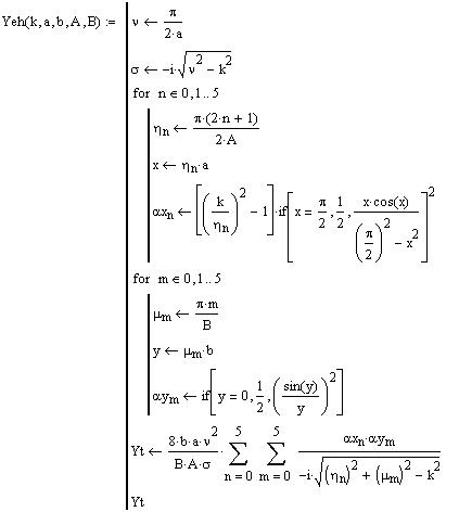
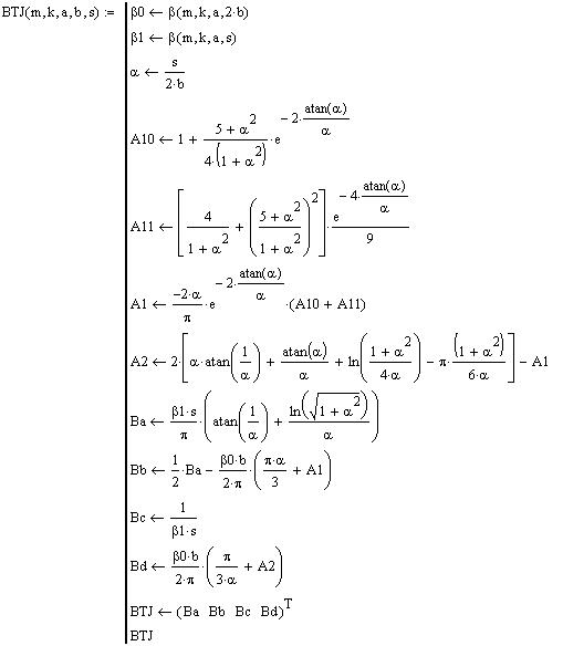
The filter structure is based on shorted E-plane symmetric stubs (cavities) grouped in resonating pairs. Scattering properties of such a cavity can be evaluated using E-plane T-junction model [3].
Figure 2: Single E-plane corrugation and its equivalent circuit.
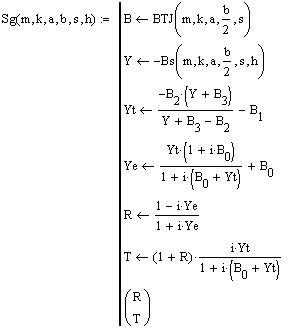
Where reactive elements of T-junction's equivalent circuit from [3] modified for non-ideal waveguide impedances are given by sequence of expressions
(4)
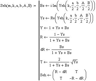
Here the short circuited waveguide susceptance Bs representing the shorted waveguide section has to be connected in parallel to Bd susceptance of the T-junction circuit reactance to simulate a single corrugation as given
(5)
Thus the reflection and transmission coefficients of a single corrugation can be expressed from the equivalent circuit and represented by
(6)
Resonators

A single resonator can be represented as a pair of two corrugations connected to each other by a waveguide section as shown on Figure 3.
Figure 3: A single resonator and its equivalent circuit.
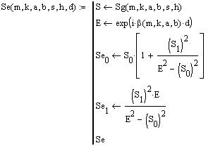
The length d of the waveguide is chosen to provide reflection zero at resonance frequency br. Using the expressions (6) and (1) S-parameters of such a resonator can be derived
(7)
The length of connecting waveguide d can be found from the condition of reflection zero at resonant frequency kr as
(8)
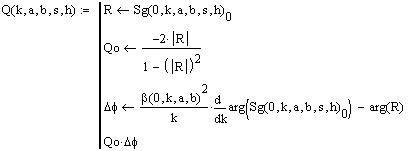
Let represent the differential unloaded Q factor of the resonator at the vicinity of b r as
(9)
where R(b) and T(b ) are reflection and transmission functions from (7). After simple manipulations the Q value can be expressed from reflection and transmission functions of single corrugation (6)
(10)
Now we can enter a simple relationship of loaded Q of resonator with its dimension h das follows:
(11)
Filter Structure

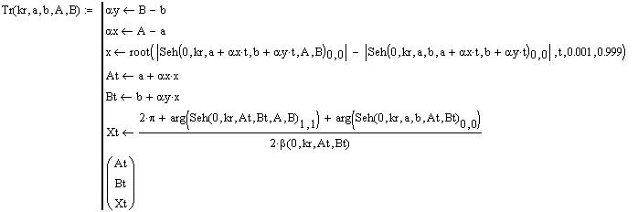
By analogy with iris quarter-wave-coupled filters from [2], here the resonators are integrated into a filter structure by impedance inverting waveguide sections of length t~lg/4 as shown on Figure 4 below
Figure 4: Corrugated filter consisting of single pairs of corrugations
Filter structure with pseudo-maximally-flat frequency response characterized by central frequency br and bandwidth Db can be synthesized using expressions (11) and (8) matching required Q-values [2]
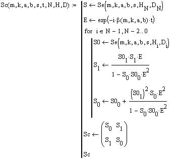
As scattering parameters of each resonator is known (7), the frequency response of filter structure can be calculated using consecutive cascading S-elements as follows:
Interface Transformers


Because the dimensions of external waveguide line A x B can differ from the dimensions of internal cross section of filter structure a x b , the transformer sections are necessary. Here a single quarter-wave step is used to match filter structure with interface. In order to simulate the frequency response of such a waveguide transformer, Macfarlane's formulas [4] for HE-plane waveguide step can be used.
Figure 5: HE-plane junction and its equivalent circuit
Here the impedance transformation factor, admittance of smaller waveguide and equivalent shunt susceptance are expressed in following expressions
CORRECTION : The previous expression for EH-plane junctions from [4] are replaced with expression (16) obtained using variational method [3].
Thus we can derive expression for S-matrix of HE-plane step
and S-matrix of double step transformer as a cascade (1) of two junctions
The dimensions of cross section At xBt and length of transforming step can be synthesized from condition of reflection zero at kr, the wave number corresponding to the central frequency of filter's pass-band and expressed as
(22)
As the quarter-wave transformer can be considered as a reflection-zero resonator of low loaded Q (9), it can replace the end resonators for most practical cases in order to reduce length of filter and get rid of practically unreal shallow corrugations.
Entire Corrugated Filter
Figure 6: Sketch of entire filter structure
Now dimensions of internal filter structure with end resonators removed are obtained from (12), (11), and (8) and expressed as follows:
(23)
where w= Db/b is relative bandwidth of filter. Since all dimensions of filter are known, the S-parameters of entire filter can be obtained as cascade of two transformers (21) and internal corrugated structure (13)
(24)
Response Optimization


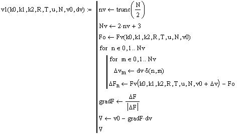
As usual filter synthesizing procedures are based on representation of waveguide structure as a circuit of lumped elements, it is a very complicated problem to extract the L-C parameters from waveguide junctions and compensate their frequency dependence or overmoding. Besides if even the problem is solved and the filter has an ideal Chevychev or Zolotorev function response in the vicinity of its pass-band, it is quite not obvious the filter show rejection of far frequency spectrum will be also so well. Therefore most designers rather prefer to design from scratch a draft filter matching the specification in common sense, and optimize its pass-band and roll-off points. A simple gradient approach is used here to adjust filter bandwidth. First of all we extract physical parameters to be optimized from constant and dependant parameters and group them in two vectors as shown
(25)
Let declare a function evaluating average return loss of pass-band [k0,k1] and isolation at specified point k2 in respect to corresponding spec values R and T in dB as
(26)
Now we can express any next vector approximation v1 from previous vector approximation v0 by scalar increment dv
(27)
The procedure can be repeated any Nsteps times until the minimum of function f is found
(28)
After optimization is completed the new optimized dimensions can be found as inverse functions from (25)
(29)
Derivative Parameters
Most technical parameters can be obtained from S-response of filter as follows:

Insertion and return loss in dB
Group delay
Group delay slope
Insertion Loss slope
Harmonics Rejection

As corrugated filters are based on E-plane structures the filter response over frequency is a function of waveguide propagation number b. Therefore if a pass-band exists for TE10-mode, it must be for any TEno-mode having the same b-plan. Practically there is no way to eliminate spurious pass-bands corresponding to spurious waveguide modes of higher order except keeping TE10-mode clearance. That is a property of E-plane corrugated filters of any type [4]. Nevertheless, corrugated filters are commonly used as low-pass filters because of their low cost, low loss and extremely high power handling. Practically designers of corrugated filters try to move those spurious pass-bands out of important frequency bands required to be rejected. Prediction of spurious rejection is easier problem as the expressions (13) and (24) can be used to evaluate frequency response of any TEno-mode by substituting wavenumber k by given
A simple procedure [5] shows how to select optimal a -dimension in order to provide rejection of modes of higher order in particular frequency bands.
Peak Power Handling

Electrical breakdown can occur in air or vacuum due to ionization or emission. Practically the peak power handling of straight waveguide section can be approximately evaluated as
(31)
This value should be reduced by 1+Q times for each resonator of filter (12) take into account the power stored by each resonator. Then the maximum peak power handling can be estimated as
(32)
for filters with pseudo-maximally-flat response with frequency bandwidth [f0,f1].
Dimensions of filter body
Finally we can summarize the internal dimensions of filter W x H x L
(33)
which are maximum dimensions of internal surface of filter body. The real dimensions of filter assembly must include thickness of metal and flanges in addition to those simulated dimensions.
Manufacturing

The filter can be made from two symmetric half bodies using regular milling or EDM machining. Though central E-plane cut is recommended because of absence transversal currents, central H-plane cut is commonly used in corrugated filters production because of milling preferences. If so, contact grooves should be used in order to provide good electrical contact on flanges between filter cuts. Electroforming is used more seldom, but allows creating entire filter. Practically +/-0.002a random tolerance on dimensions and positions of corrugations might be allowed as it should not degrade much pass-band performance of filter of this type. Reasonable radii (not larger than 0.07a ) of milling tool might be allowed, as it does usually not impact electrical properties of filer of this type.
Comparison with experimental data

An experimental Ku-band WR75 filter has been designed using the following design procedure. The following dimensions has been specified
During production the real dimensions of filters are assumed to be deviated from the designed dimensions as +/-0.001'' random manufacturing tolerance were applied to all corrugations and corners of all cavities were rounded by milling tool of 0.064'' radius. After being manufactured the both filters were measured using a vector network analyzer and measurement errors are expected to be +/-0.03 dB for insertion loss of pass-band, +/- 2 dB for in-band return loss, +/-2 dB on roll-off rejection and 70-80 dB noise floor limits. During testing the following data of return and insertion loss over WR75 waveguide bandwidth has been measured
Here the data simulated by (24) and data measured by a network analyzer are put on the same plot
It is shown that deviation from performance simulated to performance measured is in reasonable range corresponding to applied manufacturing and measurement inaccuracy. Far-out-of-band rejection has been measured for three experimental filters. Test results have shown the rejection evaluated by expression (24) is in practical match with test data corresponding to TE10-mode in frequency ranges up to 2.5-3.0 times filter pass-band. Thus accuracy of the design expressions written above is matching common practical requirements.
Design Example
Let us design a WR-75 corrugated filter matching the following specification



Frequency Range, GHz 12.50 - 13.75
Insertion Loss, dB 0.35
Return Loss, dB 25
Rejection, dB
14.55- 15.6 GHz 50
21.3 - 24.0 GHz 80
28.2 - 31.1 GHz 60
Gain slope, dB/MHz 0.002
Insertion Loss Ripple, dBpp 0.02
Group Delay Variation, ns 1.0
Group Delay Slope, ns/MHz 0.03
Peak Power Handling W 3000
Interface WR75
Dimensions WxHxL, in 1.35x1.15x8.00
including flanges
A spec function can be specified in order to design margins later
Interface dimensions A x B are specified as WR75 standard
However the internal a dimension of corrugated structure must be selected in order to remove pass-bands of spurious TEno-modes (30) from frequency bands specified by specification
Trying different a -values from larger to smaller we find a=0.70'' provides clearance of TE20-,TE30- and TE40-modes. Selecting b and s is less sophisticated and depends on requirements of power handling and rejection of high frequency spectrum. Practically b ~ 0.05a - 0.1a and s ~ 2.0b - 2.6b for 3-rd harmonic requirements. For example
Now we select design bandwidth and order of filter, for example
The design bandwidth can differ from the bandwidth specified because it is used only to synthesize initial dimensions of filter
By changing filter design bandwidth f0-f1 , filter order N and distance between resonators t we can adjust real bandwidth and roll-off of filter
and fit it within the spec mask as shown on plot
Now we specify optimization constrains
Because the initial design is already close to meet requirements, several steps of optimization Nst should be enough to achieve near-band requirements for return loss and rejection.
WAIT:
OPTIMIZATION MAY
REQUIRE COUPLE OF MINUTES
For more complicated specs more optimization steps might be required. Now we upgrade dimensions of filter
and compute its frequency response over the frequency range
The pass-band and roll-off seem to mach the spec. Now we see where the spurious modes are expected to pop up
The a-dimension of filter is selected right, so the TE20-, TE30 and TE40-modes passing in frequency bands other than specified. Now we can see details of pass-band performance.
Insertion loss over pass-band
Group delay variation over pass-band
Group delay slope
Insertion loss (gain) slope
Power handling in vacuum (multipaction breakdown)
Power handling in air
Internal dimensions of filter body
Now we can assume the design to be completed, as all specified parameters are in match with specification.
Conclusion

A corrugated harmonic filter of new type [1] using quarter-wave-coupled E-plane corrugated reflection-zero resonators providing high loaded Q. The expressions for scattering parameters of whole filter structure have been derived in terms of known variational approximations and expressed in elementary functions and compiled into a simulation tool. It has been shown on practical example that accuracy of simulation of frequency response of such filter is with good match with measured data. The design expressions have been represented as two s tep design procedure, which combines a first-order synthesis, based on quarter-wave-coupled prototype, with gradient optimization procedure, presented as MathCAD spreadsheet. It is shown that the design procedure allows performing complete design including synthesis, optimization and verification within several minutes.
References

1. R. Goulouev " Corrugated waveguide filter having coupled resonator cavities", US patent 6,169,466, 2001

2. R.E. Collin "Foundations for Microwave Engineering", McGraw-Hill, 1966.

3. N. Marcuvitz "Waveguide Handbook", Peter Peregrinus Ltd., 1993.

4. G.F. Graven and C.K. Mok "The Design of Evanescent Mode Waveguide Bandpass Filters for a Prescribed Insertion Loss Characteristic", IEEE, MTT-19, pp. 295-308, March 1971.

5 . R. Levy "Tapered Corrugated Waveguide Low-Pass Filters", IEEE, MTT-21, pp. 526-532, Aug. 1973.

6. R. Goulouev "Corrugated Filter Spurious Pass-Bands", MathCAD spreadsheet, http://mathcad.adeptscience.co.uk/mcadlib/apps/corrfilt .mcd or http://www.circuitsage.com/filter/corrfilt.mcd, 1999.