 |
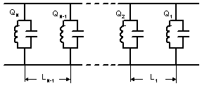
The filter can be represented as sequence of N lossless reactive resonant units separated by N-1 straight uniform waveguide sections of length close to 1/4-wavelength in the waveguide. Each resonator # i shows symmetric scattering matrix Si (b) with reflection function Ri (b) and transmission function Ti (b) , where b is waveguide propagation constant.
|
 |
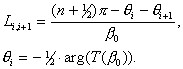
The reflection function of each resonator is smooth and monotonic over the filter pass-band and inverts into zero at the central frequency. Then the loaded Q-factor of the i-th resonator is determined from its reflection function as

A procedure of synthesizing the filter structure is written in [1], if we assume

However, because of stability of the filter response for coupling transformer length, it can be kept the same between all resonators to be 1/4lg, little less or more.
|
 |
Physical realization of such a filter is based on finding such elements providing reflection zero at particular central frequency with variable Q-factor. Resonant iris and cavity of two regular H- plane irises [1] are commonly used to compose a 1/4-wave-coupled filter. Using modern software a wide variety of such resonant elements can be found and unusual filter structures can be built from them. For example, couple of slots in an evanescent-mode ridged waveguide behaves as reflection-zero resonator. Changing d-dimension changes central frequency and changing s-dimension changes Q-factor.
|